This website works better with JavaScript.
Почетна
Помоћ
Пријавите Се
christian
/
uni
Прати
1
Волим
0
Креирај огранак
0
Код
Дискусије
0
Захтеви за спајање
0
Издања
0
Вики
Activity
Für Vorlesungen, bitte die Webseite verwenden.
https://flavigny.de/lecture
You can not select more than 25 topics
Topics must start with a letter or number, can include dashes ('-') and can be up to 35 characters long.
257
Комити
1
Грана
319MB
Дрво:
015ca916cc
master
Гране
Ознаке
${ item.name }
Create branch
${ searchTerm }
from '015ca916cc'
${ noResults }
uni
/
sose2020
/
num
/
uebungen
/
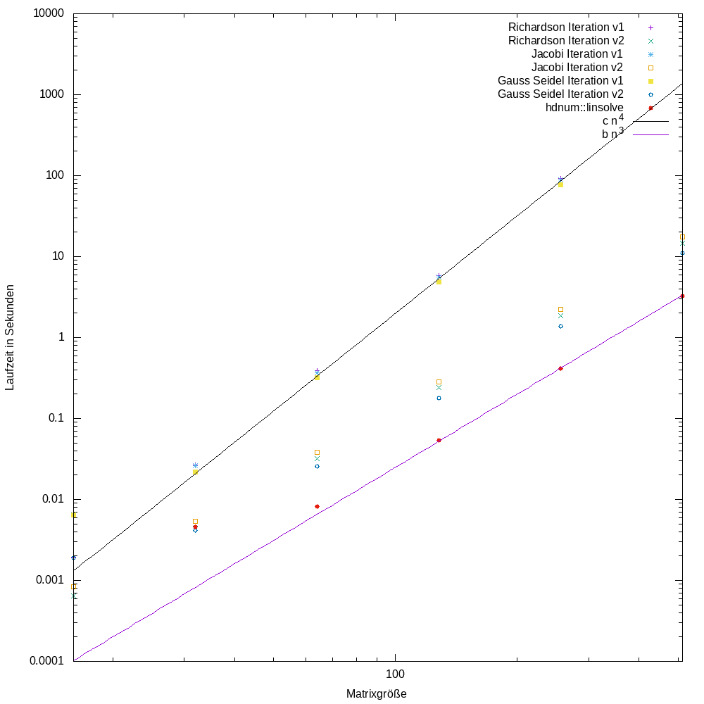
iterative_solvers_plot.png
14KB
Датотека
Историја